Laboratory Egress Requirements . how many exits do i need to serve my laboratory unit? what are the requirements for exits? means of egress design must consider the distance occupants travel to an exit, how far apart exits are located from. laboratory doors should swing into egress pathways whenever feasible and should be recessed to keep the required clear width of egress corridors. the bloodborne pathogens standard (29 cfr 1910.1030), including changes mandated by the needlestick safety and prevention act. Entries, exits, and aisle width. Nfpa 45 contains specific criteria for determining where a.
from windowmart.ca
laboratory doors should swing into egress pathways whenever feasible and should be recessed to keep the required clear width of egress corridors. the bloodborne pathogens standard (29 cfr 1910.1030), including changes mandated by the needlestick safety and prevention act. what are the requirements for exits? Nfpa 45 contains specific criteria for determining where a. how many exits do i need to serve my laboratory unit? means of egress design must consider the distance occupants travel to an exit, how far apart exits are located from. Entries, exits, and aisle width.
Egress Window Egress Window Size Canada Window Mart
Laboratory Egress Requirements means of egress design must consider the distance occupants travel to an exit, how far apart exits are located from. means of egress design must consider the distance occupants travel to an exit, how far apart exits are located from. Nfpa 45 contains specific criteria for determining where a. Entries, exits, and aisle width. the bloodborne pathogens standard (29 cfr 1910.1030), including changes mandated by the needlestick safety and prevention act. what are the requirements for exits? how many exits do i need to serve my laboratory unit? laboratory doors should swing into egress pathways whenever feasible and should be recessed to keep the required clear width of egress corridors.
From mavink.com
How To Draw An Egress Plan Laboratory Egress Requirements Entries, exits, and aisle width. laboratory doors should swing into egress pathways whenever feasible and should be recessed to keep the required clear width of egress corridors. what are the requirements for exits? Nfpa 45 contains specific criteria for determining where a. the bloodborne pathogens standard (29 cfr 1910.1030), including changes mandated by the needlestick safety and. Laboratory Egress Requirements.
From www.researchgate.net
(PDF) Body Orientation and Points of Contact during LaboratoryBased Laboratory Egress Requirements how many exits do i need to serve my laboratory unit? what are the requirements for exits? laboratory doors should swing into egress pathways whenever feasible and should be recessed to keep the required clear width of egress corridors. Nfpa 45 contains specific criteria for determining where a. the bloodborne pathogens standard (29 cfr 1910.1030), including. Laboratory Egress Requirements.
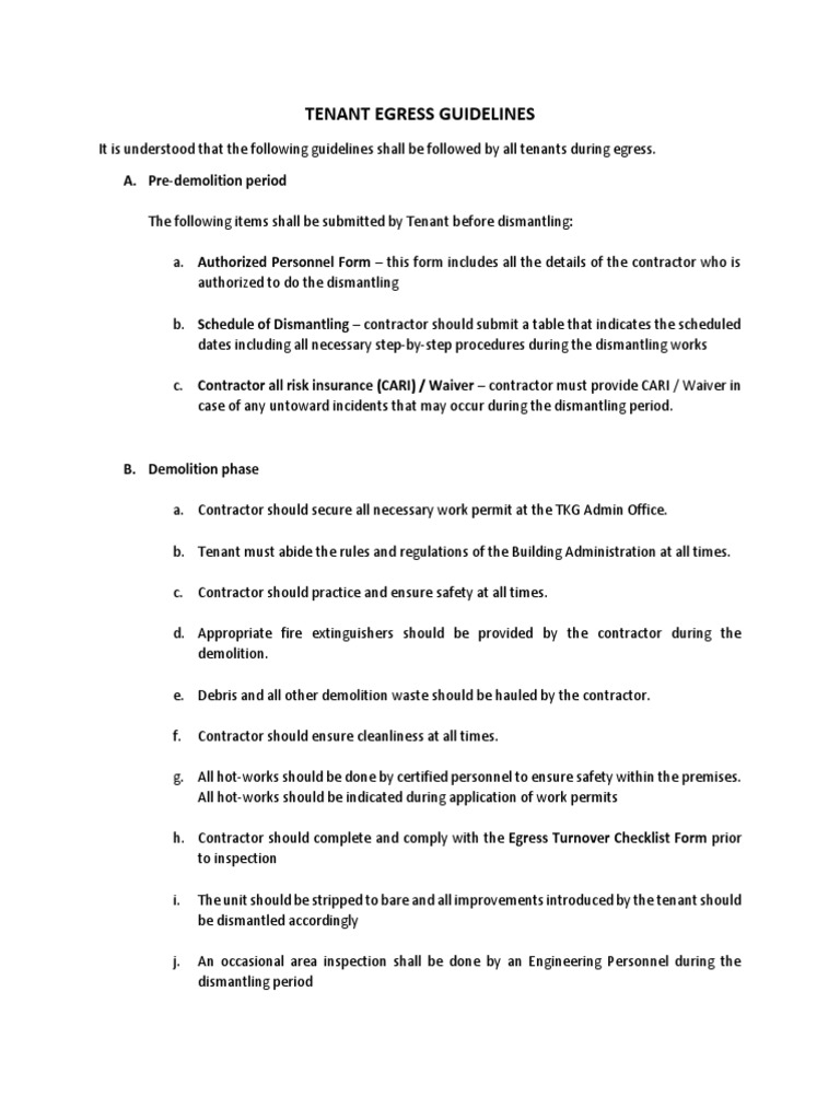
From www.scribd.com
Egress Guidelines TKG PDF Demolition Laboratory Egress Requirements means of egress design must consider the distance occupants travel to an exit, how far apart exits are located from. Nfpa 45 contains specific criteria for determining where a. Entries, exits, and aisle width. the bloodborne pathogens standard (29 cfr 1910.1030), including changes mandated by the needlestick safety and prevention act. laboratory doors should swing into egress. Laboratory Egress Requirements.
From www.kitploit.com
EgressAssess Tool used to Test Egress Data Detection Capabilities Laboratory Egress Requirements Entries, exits, and aisle width. Nfpa 45 contains specific criteria for determining where a. what are the requirements for exits? means of egress design must consider the distance occupants travel to an exit, how far apart exits are located from. how many exits do i need to serve my laboratory unit? laboratory doors should swing into. Laboratory Egress Requirements.
From ehsdailyadvisor.blr.com
The Way to the Egress A Guide to Workplace Evacuations, Part 2 EHS Laboratory Egress Requirements means of egress design must consider the distance occupants travel to an exit, how far apart exits are located from. Nfpa 45 contains specific criteria for determining where a. what are the requirements for exits? how many exits do i need to serve my laboratory unit? laboratory doors should swing into egress pathways whenever feasible and. Laboratory Egress Requirements.
From www.trudoor.com
ADA Accessibility Guidelines for Doors Laboratory Egress Requirements Nfpa 45 contains specific criteria for determining where a. the bloodborne pathogens standard (29 cfr 1910.1030), including changes mandated by the needlestick safety and prevention act. what are the requirements for exits? Entries, exits, and aisle width. how many exits do i need to serve my laboratory unit? laboratory doors should swing into egress pathways whenever. Laboratory Egress Requirements.
From www.slideshare.net
Building Code Egress Laboratory Egress Requirements how many exits do i need to serve my laboratory unit? Entries, exits, and aisle width. the bloodborne pathogens standard (29 cfr 1910.1030), including changes mandated by the needlestick safety and prevention act. means of egress design must consider the distance occupants travel to an exit, how far apart exits are located from. Nfpa 45 contains specific. Laboratory Egress Requirements.
From blog.iaac.net
Egress Prediction IAAC BLOG Laboratory Egress Requirements Entries, exits, and aisle width. the bloodborne pathogens standard (29 cfr 1910.1030), including changes mandated by the needlestick safety and prevention act. Nfpa 45 contains specific criteria for determining where a. what are the requirements for exits? laboratory doors should swing into egress pathways whenever feasible and should be recessed to keep the required clear width of. Laboratory Egress Requirements.
From www.researchgate.net
(PDF) Means of Egress Building Code Compliance Diagrams Laboratory Egress Requirements laboratory doors should swing into egress pathways whenever feasible and should be recessed to keep the required clear width of egress corridors. what are the requirements for exits? the bloodborne pathogens standard (29 cfr 1910.1030), including changes mandated by the needlestick safety and prevention act. Entries, exits, and aisle width. Nfpa 45 contains specific criteria for determining. Laboratory Egress Requirements.
From windowmart.ca
Egress Window Egress Window Size Canada Window Mart Laboratory Egress Requirements means of egress design must consider the distance occupants travel to an exit, how far apart exits are located from. Entries, exits, and aisle width. Nfpa 45 contains specific criteria for determining where a. what are the requirements for exits? how many exits do i need to serve my laboratory unit? the bloodborne pathogens standard (29. Laboratory Egress Requirements.
From sagabio.com
Fha Requirements For Egress Windows Laboratory Egress Requirements Entries, exits, and aisle width. how many exits do i need to serve my laboratory unit? Nfpa 45 contains specific criteria for determining where a. means of egress design must consider the distance occupants travel to an exit, how far apart exits are located from. what are the requirements for exits? laboratory doors should swing into. Laboratory Egress Requirements.
From www.pinterest.co.uk
Egress Window Requirements Explained Egress window, Egress, Window Laboratory Egress Requirements Entries, exits, and aisle width. what are the requirements for exits? laboratory doors should swing into egress pathways whenever feasible and should be recessed to keep the required clear width of egress corridors. Nfpa 45 contains specific criteria for determining where a. how many exits do i need to serve my laboratory unit? means of egress. Laboratory Egress Requirements.
From ccpia.org
What Is a Means of Egress? Certified Commercial Property Inspectors Laboratory Egress Requirements means of egress design must consider the distance occupants travel to an exit, how far apart exits are located from. how many exits do i need to serve my laboratory unit? the bloodborne pathogens standard (29 cfr 1910.1030), including changes mandated by the needlestick safety and prevention act. Entries, exits, and aisle width. Nfpa 45 contains specific. Laboratory Egress Requirements.
From www.elevate.in
Egress Windows Sizing And Requirements Explained!, 44 OFF Laboratory Egress Requirements how many exits do i need to serve my laboratory unit? Nfpa 45 contains specific criteria for determining where a. the bloodborne pathogens standard (29 cfr 1910.1030), including changes mandated by the needlestick safety and prevention act. laboratory doors should swing into egress pathways whenever feasible and should be recessed to keep the required clear width of. Laboratory Egress Requirements.
From www.access-board.gov
Chapter 4 Accessible Means of Egress Laboratory Egress Requirements how many exits do i need to serve my laboratory unit? Nfpa 45 contains specific criteria for determining where a. laboratory doors should swing into egress pathways whenever feasible and should be recessed to keep the required clear width of egress corridors. the bloodborne pathogens standard (29 cfr 1910.1030), including changes mandated by the needlestick safety and. Laboratory Egress Requirements.
From beamstobasements.com
Digging into Egress Windows & Legal Basement Bedrooms Beams to Laboratory Egress Requirements laboratory doors should swing into egress pathways whenever feasible and should be recessed to keep the required clear width of egress corridors. how many exits do i need to serve my laboratory unit? means of egress design must consider the distance occupants travel to an exit, how far apart exits are located from. Nfpa 45 contains specific. Laboratory Egress Requirements.
From www.scribd.com
Basic Requirements for Means of Egress Guidelines for Determining Laboratory Egress Requirements how many exits do i need to serve my laboratory unit? laboratory doors should swing into egress pathways whenever feasible and should be recessed to keep the required clear width of egress corridors. means of egress design must consider the distance occupants travel to an exit, how far apart exits are located from. what are the. Laboratory Egress Requirements.
From vdocuments.mx
Guidelines for Means of Egress Requirements OSHAufdcimages.uflib.ufl Laboratory Egress Requirements what are the requirements for exits? means of egress design must consider the distance occupants travel to an exit, how far apart exits are located from. laboratory doors should swing into egress pathways whenever feasible and should be recessed to keep the required clear width of egress corridors. Entries, exits, and aisle width. the bloodborne pathogens. Laboratory Egress Requirements.